產品列表
聯系我們
銷售熱線:0632-5113088
外貿電話:0632-5113066
公司傳真:0632-5113155
地址:山東省棗莊市市中區水處理劑產業園(十里泉東路1號)
E-mail:th@thwater.com
外貿電話:0632-5113066
公司傳真:0632-5113155
地址:山東省棗莊市市中區水處理劑產業園(十里泉東路1號)
E-mail:th@thwater.com
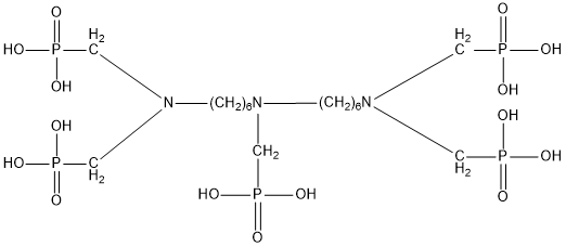
雙1,6-亞己基三胺五甲叉膦酸 BHMTPMPABis(HexaMethylene Triamine Penta (Methylene Phosphonic Acid)) BHMTPMPA
CAS No. 34690-00-1 分子式 C17H44O15N3P5 相對分子質量:685 結構式
一、性能與用途:BHMTPMPA是高效的螯合型阻垢劑,對碳酸鹽垢和硫酸鹽垢具有良好的阻垢效果。 BHMTPMPA在較寬的PH范圍和120℃高溫下有極佳的水溶性和熱穩定性,對鈣離子容忍度高。BHMTPMPA用作油田水處理的緩蝕阻垢劑,工業循環冷卻水和鍋爐水的阻垢緩蝕劑。 二、技術指標 符合HG/T 22591-2008
三、使用方法單獨使用或與聚羧酸型阻垢分散劑配合使用。 四、包裝與貯存BHMTPMPA用塑料桶包裝,每桶25kg或根據用戶需要確定。BHMTPMPA貯于室內陰涼處,貯存期為十二個月。 五、安全防護BHMTPMPA為酸性,操作時注意勞動保護,應避免與皮膚、眼睛等接觸,接觸后用大量清水沖洗。 |
|||||||||||||||||
|
|||||||||||||||||
| 關鍵字: 雙1,6-亞己基三胺五亞甲基膦酸BHMTPMP,二己烯三胺五亞甲基膦酸BHMTPMP,阻垢緩蝕劑 |
