外貿電話:0632-5113066
公司傳真:0632-5113155
地址:山東省棗莊市市中區水處理劑產業園(十里泉東路1號)
E-mail:th@thwater.com
二乙烯三胺五甲叉膦酸 DTPMPADiethylene Triamine Penta (Methylene Phosphonic Acid) (DTPMPA)
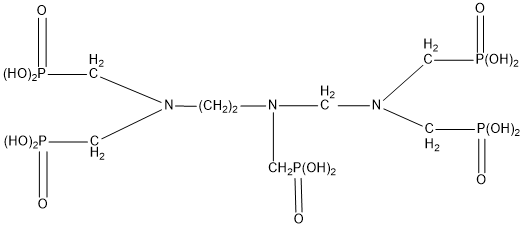
別名:二乙烯三胺五亞甲基膦酸;DETPMP;二亞乙基三氨基五甲基磷酸; CAS No. 15827-60-8 分子式 C9H28O15N3P5 相對分子質量:573.2 結構式
一、性能與用途DTPMPA無毒,易溶于酸性溶液中,阻垢緩蝕效果俱佳且耐溫性好,可抑制碳酸鹽、硫酸鹽垢的生成,在堿性環境和高溫下(210℃以上)阻垢緩蝕性能較其它有機膦好。DTPMPA在水處理中用作循環冷卻水和鍋爐水的阻垢緩蝕劑,特別適用于堿性循環冷卻水中作為不調pH的阻垢緩蝕劑,并可用于含碳酸鋇高的油田注水和冷卻水、鍋爐水的阻垢緩蝕劑;在復配藥劑中單獨使用本品,無需投加分散劑,污垢沉積量仍很小。 DTPMPA也可用作過氧化物穩定劑(特別是高溫條件下雙氧水穩定效果好)、紡織印染用螯合劑、顏料的分散劑、氧脫木素穩定劑、化肥中微量元素攜帶劑、混凝土添加劑。此外,在造紙、電鍍、金屬酸洗和化妝品等方面也得到了廣泛應用。還可作氧化性殺菌劑的穩定劑。 二、技術指標 符合HG/T 3777-2023
三、使用方法DTPMPA作阻垢劑一般使用濃度1~30mg/L,作清洗劑一般使用濃度1000~2000mg/L;通常與聚羧酸型阻垢分散劑配合使用。在其他行業使用時,應根據試驗確定用量。 DTPMPA也可用作過氧化物穩定劑、紡織印染用螯合劑、顏料的分散劑、氧脫木素穩定劑、化肥中微量元素攜帶劑、混凝土添加劑。此外,在造紙、電鍍、金屬酸洗和化妝品等方面也得到了廣泛應用。還可作氧化性殺菌劑的穩定劑。 四、包裝與貯存DTPMPA用塑料桶包裝,每桶30kg或根據用戶需要確定。貯于室內陰涼處,貯存期為十二個月。 五、安全防護DTPMPA為酸性,操作時注意勞動保護,應避免與皮膚、眼睛等接觸,接觸后用大量清水沖洗。 |
|||||||||||||||||||
|
|||||||||||||||||||
| 關鍵字:二乙烯三胺五甲叉膦酸DTPMP,二乙烯三胺五亞甲基膦酸DTPMP,DETPMP,阻垢緩蝕劑 |
