產品列表
聯系我們
銷售熱線:0632-5113088
外貿電話:0632-5113066
公司傳真:0632-5113155
地址:山東省棗莊市市中區水處理劑產業園(十里泉東路1號)
E-mail:th@thwater.com
外貿電話:0632-5113066
公司傳真:0632-5113155
地址:山東省棗莊市市中區水處理劑產業園(十里泉東路1號)
E-mail:th@thwater.com
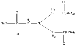
氨基三甲叉膦酸五鈉 ATMP•Na5Penta sodium salt of Amino Trimethylene Phosphonic Acid (ATMP•Na5) CAS No. 2235-43-0(5-Na) 20592-85-2 (x-Na) 別名:氨基三亞甲基膦酸五鈉 分子式 C3H7NO9P3Na5 相對分子質量:409 結構式
一、性能與用途:ATMP•Na5是ATMP的鈉鹽溶液,可阻止水中成垢鹽類形成水垢,特別是碳酸鈣垢的形成。 ATMP•Na5用于鍋爐水處理、油田回注水系統、工業和市政清潔水處理及冷卻水處理的金屬緩蝕。ATMP•Na5作為通用型低成本阻垢劑,對鋅鹽及磷酸鹽有較好的緩蝕作用,螯合性能較好。 二、技術指標
三、使用方法ATMP•Na5與其它有機磷酸、聚羧酸或鹽等復配成有機堿性水處理劑,用于各種不同水質條件下的循環冷卻水系統。 四、包裝與貯存ATMP•Na5用塑料桶包裝,每桶30Kg 或250Kg,也可根據用戶需要確定。貯于室內陰涼處,貯存期十二個月。 五、安全防護ATMP•Na5為弱堿性,操作時注意勞動保護,應避免與皮膚、眼睛等接觸,接觸后用大量清水沖洗。 |
|||||||||||||||||
|
|||||||||||||||||
| 關鍵字: 氨基三甲叉膦酸五鈉 ATMP•Na5,氨基三亞甲基膦酸鈉 ATMP•Na5,有機膦酸鹽 |
